Most of those working closely to fluid dynamics are very familiar with the Navier-Stokes equations and most likely have a clear idea of how they look like (i.e. they can write them down on paper with no need to look through a reference book). I am not one of those people yet, at least most of the time especially in spherical or cylindrical coordinates - unless written in vector form.
When I was an undergraduate student, looking at the NS equations was as confusing as I would feel when I walk in a huge mall with hunderds of people around. Of course, these equations require familiarity and in depth knowledge before they get fixed in your brain. So, I was looking for a way to "understand" these equations rather than memorize them. Eventually, after seeing them a lot of times, I figured out a way to understandably memorize the NS equations. The essential ingredient is, of course, the physics that each term represents. Once you understand the physics, it is a piece of cake to put the equations together. Moreover, there was a more fundamental process going on behind the scenes. This corresponds to the fact that all differential equations that govern heat, mass, momentum, chemcial reactions, energy.... have exactely the same form! This is where I will start, and here, I follow Patankar's superb insights into the problem [1].
Conservation
The most fundamental law of physics is that of conservation. Any quantity is conserved. Of course, these quantities can change form or transform (i.e. a chemical reaction), but they are still conserved. A differential equation expresses such a conservation principle. Each term in the differential equation represents a physical mechanism through which the conserved quantity evolves. Such terms include for example a chemical source term where extra species are either created or used up to proceed with the reaction. For generality, we shall pick a dummy physical quantity and call it phi. It can be the temperature, the velocity, the concentration, the density, the electric field etc...
Three Mechanisms
There are three mechanisms that the terms in a differential equation usually describe;
- Accumulation
- Convection
- Diffusion
The accumulation or transient process accounts for the temporal rate of change of the a given quantity within an infinitesimal volume. This will have the form
The convection process accounts for the transport of the quantity due to any existing velocity field. This term is almost always described by a first derivative multiplied by a velocity. Convection occurs at the macro level and it is the source of nonlinearity in the NS equations.
Finally, the diffusion process describes the tranport of the quantity due to the presence of any gradients of that quantity. This happens at the molecular level. By itself, diffusion is a linear process provided the diffusion coefficient is a constant.
(Eq. 3)where Gamma is called the diffusion coefficient. This is equivalent to the thermal conductivity in conduction heat transfer, which is a diffusion process.
Notice that several simplifications may be made to the forms given above when certain properties hold. For example, when compressibility effects are negligible, one may extract the density outside the differential operators.
The Source Term
In certain cases, there are terms that cannot be cast into the transient, convective, and diffusive terms. These are then lumped into what is a called a source term. For example, the gravitational effects, the pressure gradient, and any other body forces are part of the source term in the Navier-Stokes equations.
The Generic Scalar Transport Equation
The universality of the three mechanisms discussed above makes it possible for us to construct a general differential equation that describes the conservation principle of a quantity. Note that the placement of the terms comes from the fundamental principles of deriving the conservation equations, i.e. transient and convective terms should balance diffusive and source terms. Therefore, some signs in the source terms may need to be modified as the source terms is always placed on the right hand side of the equation. Here it is
(Eq. 4)Voila!
Eq. 4 can now be specialized to any process in the realm of heat, mass, and momentum transfer. For example, to obtain the continuity equation (for compressible flows) set phi = 1. Since diffusion is not present and in the absence of sources set those to zero to obtain
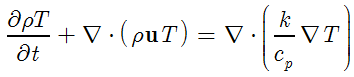
To obtain the energy equation for an incompressible fluid, and in terms of the temperature, simply set phi = T to obtain
Note that you can divide by the density of course. But I kept the above form so that it matches the generic equation.
Now for the Navier-Stokes equations, we replace phi by one velocity component at a time (remember, that the velocity components are also quantities and in this case their momentum is conserved). Let us consider a cartesian coordinate system and start with the axial velocity component. By replacing phi with u, and setting the appropriate form for the source term, we get
similarly, for the other coordinate directions, replace u by v and w respectively. The most subtle part is of course figuring out the source term. So if you just remember that typically the body forces in a fluid problem are those arising from the pressure and gravity, then the rest should be easy.
REFERENCES
[1] Patankar, S. V., Numerical Heat Transfer and Fluid Flow, Hemisphere, Washington, D.C., 1980.
Cite as:
Saad, T. "An Easy Way to Remember the Navier Stokes Equations".
Weblog entry from
Please Make A Note.
http://pleasemakeanote.blogspot.cz/2008/08/easy-way-to-remember-navier-stokes.html
(Eq. 1)
(Eq. 2)
(Eq. 5)
(Eq. 7)
What a nice way of viewing conservation laws... Thank you so much!!
ReplyDeleteOne thing that I hate about physics it is that equations can turn way to hard or you can get a totally different equation from the first one.
ReplyDeleteWonderful! though the type of force arising from pressure is surface force; not a body force.
ReplyDelete